+ Lisa oma töö      

Otsid ehitajat "Projekteerimine" valdkonnast?

Parima pakkumise ja teostaja leidmiseks lisa oma töö.

Hange on lõppenud!

Võitjaks osutus kasutaja ID 50618

Korraldaja hinnang tehtud tööle

4.7
23.10.2024
Töökiirus: 12345
Kvaliteet: 12345
Hind: 12345

töö kiire ja korralik - Silver M.

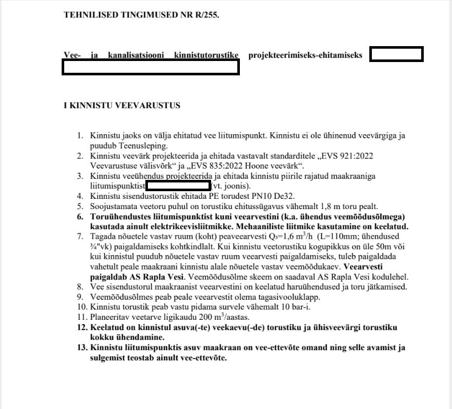
Vee ja kanalisatsiooni liitumisprojekt

ID 103515

581 vaatamist

Prindi

  • check Pakkumiste tegemine
    kuni 07.09.2024
  • check Võitja valik kuni
    14.09.2024
  • 3 Töö teostamine
    ja hinnang
Hanke lõpp: L, 7. september, 2024
Maakond: Raplamaa
Muu asula: Hagudi
Tööde lõpp: Kokkuleppel
Ehitusmaterjalid: Töö tellija poolt
Soovin pakkumisi: Summa kogu projektile

Töö sisu

Oleks vaja projekti vee ja kanalisatsiooniga liitumiseks kooskõlastustega ja kõige muu juurde kuuluvaga.
Liitumispunkt on majast u 30m.
Torutööd teostame ise.

Pildid, video ja failid

Hanke korraldaja: eraisik ID84969

Pakkumised

Pakkumisi kokku: 5

Ettevõte Summa Käibemaks Lisatud Vestlus
Kasutaja ikoon ID73338
Pakkuja profiil Väike nool paremale
800€ Sisaldab KM Sisaldab KM 05.09.2024 Vestlus (0)

Pakkumise kirjeldus:

Vee- ja kanalisatsiooni liitumisprojekti (torustikud projekteeritakse hoone sisenditest kuni liitumipunktideni) pakkumine sisaldab:
1) asendiplaan vee- ja kanalisatsioonitorustike paiknemisega ja sõlmejoonistega
2) pikiprofiilid
3) kaevukellad
4) materjalide spetsifikatsioon
5) seletuskiri
Projekteeritud vastava kvalifikatsiooniga inseneri poolt

... Rohkem

Kasutaja ikoon ID63115
Pakkuja profiil Väike nool paremale
600€ KM lisandub KM lisandub 05.09.2024 Vestlus (0)

Pakkumise kirjeldus:

Välisveevarustuse- ja väliskanalisatioonisüsteemide pakkumine sisaldab välisvõrkude trassi projekteerimine liitumispunktidest hooneni, põhiseadmete mahuloetelu, seletuskirja ja vastutava isiku allkirja. (vastavalt EVS:921 2022 ja EVS:843 2021).

Vastutava isiku allkiri on hinna sees. 

Pakkumises ei sisaldu teostusjoonised.

Too esitame digitaa ... Rohkem

Kasutaja ikoon ID79887
Pakkuja profiil Väike nool paremale
390€ KM lisandub KM lisandub 05.09.2024 Vestlus (0)

Pakkumise kirjeldus:

Pakkumine sisaldab vastava kutsega projekteerija projekti põhiprojekti mahus koos ehitusteatise esitamisega.
Pakkumine ei sisalda geoaluse koostamist.

Palun valida võitjaks ainult siis kui olete kindlad tööde tellijad. Kui valite võitjaks kuid kui töid ei telli, siis jääb hanke võitmise teenustasu Teie kanda.

Kasutaja ikoon ID50618
Pakkuja profiil Väike nool paremale
1 200€ KM lisandub KM lisandub 07.09.2024 Vestlus (0)

Pakkumise kirjeldus:

Hind sisaldab geoalust, projekti, kooskõlastusi, ehitusteatist.

Valida võitjaks ainult siis kui olete kindel tööde tellija, kui valite võitjaks, kuid töid ei telli, siis jääb teenustasu Teie kanda.

Kasutaja ikoon ID52246
Pakkuja profiil Väike nool paremale
750€ Ei ole KMKR Ei ole KMKR 07.09.2024 Vestlus (0)

Pakkumise kirjeldus:

VK liitumisprojekti koostamine vastavalt hanke kirjeldusele.

Hind sisaldab:
- Geodeetilise alusplaani mõõdistamine
- Projekti koostamine (joonised ja seletuskiri)
- Kooskõlastamised
- Vajadusel kooskõlastamised võrguvaldajatega
- Ehitusteatise esitamine EHR-i ning märkuste lahendamine

Hind ei sisalda:
- Kooskõlastuste tasusid
- Võimaliku ... Rohkem

Küsimused hanke korraldajale

Hanke korraldajale ei ole veel küsimusi esitatud.

Lisa küsimus

Lisa küsimus

Minu pakkumine

€

Reeglid

Pakkumise kirjelduse väli on mõeldud pakkumise detailsemaks lahti kirjutamiseks. Pikema teksti mugavaks sisestamiseks klikkige kasti paremal ülaservas oleval ikoonil.
Pakkumist tehes on keelatud postitada enda kontaktandmeid (nimi, telefon, aadress jne). Me jälgime ja analüüsime pakkumisi, et vältida pettuseid ja reeglite rikkumisi.
Rikkumise puhul kasutajakonto blokeeritakse.

 

Teisi töid samas valdkonnas

Valdkonnas "Projekteerimine" on 6 aktiivset tööd

no-img Pilt puudub

1-kordse 120 m2 elumaja põhiprojekt

Asukoht: Harjumaa, Metsanurme
Aega jäänud: 8p 22h
Tehtud pakkumisi: 4

no-img Pilt puudub

Saunamaja eelprojekt ehitusteatiseks

Asukoht: Lääne-Virumaa
Aega jäänud: 1p 22h
Tehtud pakkumisi: 3

Vanemad teated:

Vaata kõiki

Sellel veebilehel kasutatakse küpsiseid. Kasutamist jätkates nõustute küpsiste kasutamisega.

Sulge
 
Minu pakkumine
€

Reeglid

Pakkumise kirjelduse väli on mõeldud pakkumise detailsemaks lahti kirjutamiseks. Pikema teksti mugavaks sisestamiseks klikkige kasti paremal ülaservas oleval ikoonil.
Pakkumist tehes on keelatud postitada enda kontaktandmeid (nimi, telefon, aadress jne). Me jälgime ja analüüsime pakkumisi, et vältida pettuseid ja reeglite rikkumisi.
Rikkumise puhul kasutajakonto blokeeritakse.